Для чего человеку отпечатки пальцев
Ученые выяснили, как у человека появились отпечатки пальцев
Редакция, Общество, 1:03, 25.12.2019
Оказывается, отпечатки пальцев были жизненно важными для наших далеких предков
Ученые выяснили, зачем людям нужны отпечатки пальцев. Как пишет портал «Суть событий», у исследователей данного вопроса было две гипотезы. Согласно первой, они улучшают сцепление с поверхностью, а вторая гласит, что отпечатки пальцев играют определенную роль в осязании.
Пытаясь доказать первую догадку, ученые провели эксперимент, в ходе которого протягивали пластину из органического стекла через подушечки пальцев человека, меняя силу трения. Пальцы при этом они обработали чернилами, чтобы видеть, как область касается поверхности. В итоге выяснилось, что желобки отпечатков с поверхностью пластины не соприкасаются, так что первая гипотеза не подтвердилась, несмотря на то, что рисунок на пальцах и ладонях все-таки помогает удерживать предметы во влажной среде.
Вторая версия оказалась более жизнеспособной. По предположению французского ученого Жоржа Дебреже, наши пальцы содержат четыре типа механорецепторов, или клеток, которые реагируют на механическую стимуляцию (прикосновение). Особенно ученого волновали тельца Пачини, которые находятся на глубине примерно 2 мм под поверхностью кожи, так как они особенно чувствительны к крошечным вибрациям. Исследователь выяснил, работают ли по такому же принципу отпечатки. Он собрал специальный биомиметический тактильный датчик, напоминающий структуру человеческого пальца. Одна версия этого устройства была гладкой, а другая имела рельефный рисунок, схожий с тем, что есть на руках. Второй механизм лучше улавливал частоту колебаний, чем доказывал, что именно отпечатки направляют вибрацию на сенсоры под кожей и увеличивают ее чувствительность.
Как отмечают специалисты, эта особенность развивалась у человека в процессе эволюции и помогала в поисках и определении пищи.
Зачем нам нужны папиллярные узоры на пальцах?
В 1910 году Томас Дженнингс скрылся с места убийства, но он оставил зацепку, которая решила его судьбу: идеальные отпечатки пальцев на высыхающей ограде возле дома, где он совершил преступление. Отпечатки пальцев Дженнингса стали первыми в истории, которые были использованы в качестве доказательств в уголовном расследовании, и они привели к его осуждению за убийство в 1911 году.
С тех пор отпечатки пальцев продолжают фигурировать в качестве важнейших доказательств в судебных расследованиях. А в последнее время папиллярные линии стали использоваться и для идентификации: каждый день многие миллионы человек используют пальцы, чтобы разблокировать свои смартфоны или ноутбуки. И это достаточно безопасно, ведь полное совпадение узоров на наших пальцах случается не чаще чем в одном случае на 64 миллиарда.
Поэтому складывается впечатление, что узоры на наших пальцах были созданы для нашей идентификации. Но, конечно, это не так. Это приводит нас к вопросу: почему у нас есть папиллярные линии, и какой биологической цели они служат?
У ученых есть несколько предположений по этому поводу.
«Есть две идеи относительно отпечатков пальцев: что они помогают улучшить сцепление и что они помогают улучшить сенсорное восприятие», — сказал Роланд Эннос, исследователь биомеханики и профессор биологии в Университете Халла в Соединенном Королевстве.
Эннос потратил несколько лет, исследуя первую идею — что отпечатки пальцев дают нам лучший захват. Долгое время это была руководящая теория, согласно которой крохотные впадины и борозды на наших пальцах создают трение между ними и поверхностями, к которым мы прикасаемся.
Одним из доказательств в поддержку этой теории является то, что кончики наших пальцев могут работать как шины на автомобилях, чья податливая природа позволяет им соответствовать поверхности, по которой они движутся. В шинах эта податливость сочетается с желобоподобными протекторами, которые украшают их поверхность — это увеличивает площадь контакта шины с дорогой, увеличивая тем самым трение и сцепление. Эннос хотел выяснить, насколько хорошо эта идея выдержит лабораторный эксперимент с пальцами.

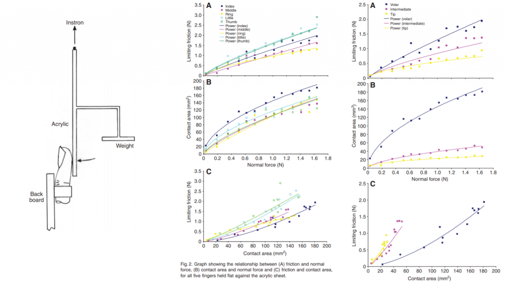
Нет, слева не средневековая машина для пыток, а всего лишь устройство, собранное для тестов. Справа — графики зависимости между силами трения и давления на палец, а также площадью поверхности.
«Мы хотели увидеть, увеличивается ли трение пальцев в области контакта, как в шинах», — сказал Эннос. Чтобы выяснить это, исследователи протаскивали пластину из плексигласа по подушечкам пальцев человека, изменяя силу давления при разных попытках и используя специальные чернила для снятия отпечатков пальцев, чтобы определить, какая часть площади поверхности пальца касалась пластины.
Удивительно, но этот эксперимент показал, что «фактическая площадь контакта была уменьшена папиллярными узорами, потому что ложбинки не вступали в контакт», сказал Эннос. Другими словами, по сравнению с гладкой кожей, которая покрывает остальную часть тела, «отпечатки пальцев должны уменьшать трение, по крайней мере, на гладких поверхностях».
Однако это не полностью опровергает идею о том, что папиллярные линии помогают сцеплению, сказал Эннос. Считается, что эти узоры могут помочь нам брать предметы, например, во влажных условиях: ложбинки эффективно отводят воду, как это делают протекторы автомобильных шин, не позволяя нашим рукам скользить по поверхности. Тем не менее, эту идею труднее проверить, поскольку в таких условиях трудно идеально сымитировать поведение кожи на пальцах, сказал Эннос.
Но есть и другая теория — папиллярные линии помогают нам тактильно познавать окружающий мир.
Несколько лет назад Жорж Дебреже, бизофизик в Сорбонском университете в Париже, размышлял об отсутствии убедительной теории о том, почему наши пальцы оставляют индивидуальные отпечатки, и решил «копать» в сторону тактильного восприятия. Наши пальцы содержат четыре типа механорецепторов, или клеток, которые реагируют на механические стимуляция, такие как прикосновение.
Дебреже было особенно любопытно узнать об одном конкретном типе механорецепторов — тельцах Пачини, которые встречаются на глубине 2 мм в коже кончиков пальцев. «Я был заинтересован в тельцах Пачини, потому что мы знали из предыдущих экспериментов, что эти специфические рецепторы отвечают за восприятие тонкой текстуры», — сказал Дебреже.

Структура нашей кожи с выделенными тельцами Пачини.
Эти механорецепторы особенно чувствительны к крошечным вибрациям с точной частотой в 200 герц — и, таким образом, помогают придать кончикам наших пальцев чрезвычайную чувствительность. Дебреже стало интересно, повышают ли папиллярные линии эту чувствительность.
Чтобы выяснить это, он и его коллеги сконструировали биомиметический (то есть копирующий свойства биоматериала — прим. перев.) тактильный датчик: устройство, имитирующее структуру человеческого пальца, с датчиками, которые могли бы обнаруживать вибрации аналогично тому, как это делают тельца Пачини.
Одна версия этого устройства была гладкой, а другая имела рельефный рисунок на поверхности, имитирующий папиллярные линии. Перемещая оба прибора по поверхности, ученые пришли к интересному открытию: борозды, имитирующие папиллярные линии, усиливали точную частоту колебаний, к которым так чувствительны тельца Пачини.
«Тот факт, что вы наносите папиллярные линии на искусственную кожу, полностью меняет природу сигналов», — сказал Дебреже. По его словам, папиллярные линии увеличивают нашу тактильную чувствительность в несколько раз. Но какая нам польза от таких гиперчувствительных пальцев?
На протяжении тысячелетий наши пальцы были важнейшими инструментами для поиска и употребления пищи. Чувствительность к текстуре предмета, в частности, может быть эволюционно полезной, поскольку она помогает нам определить максимально спелый плод. За примерами ходить далеко не нужно: мы до сих пор выбираем те же огурцы на ощупь, стараясь брать наиболее упругие и с плотными пупырышками.
«Причина, по которой нам нужно иметь высокую тактильную чувствительность, заключается в том, что мы хотим отделить хорошую пищу от плохой», — объясняет Дебреже. Хорошее чувство осязания может помочь нам избежать гниющих или неспелых плодов.
Вдобавок к этой идее, Дебреже отметил, что у других животных, таких как шимпанзе и коала, также имеются папиллярные линии и тельца Пачини, и они тоже часто полагаются на тактильную чувствительность, чтобы находить пищу.
Однако Дебреже подчеркивает, что его эксперимент не является доказательством того, что отпечатки пальцев эволюционировали для этой цели. Но, тем не менее, это убедительный и элегантный тезис. «Кажется, все совпадает», — говорит он.
Несмотря на это, Дебреже на самом деле считает, что отпечатки пальцев могут служить как для улучшения тактильного восприятия, так и для улучшения захвата. «Причина, по которой мы так хорошо манипулируем и обращаемся с вещями, заключается в том, что у нас есть это изысканное чувство осязания — постоянная обратная связь между тем, чего мы касаемся, и тем, что мы чувствуем», — пояснил он. Это «позволяет нам в реальном времени корректировать силу, с которой мы собираемся схватить объект».
Например, если какой-то предмет проскальзывает, когда вы держите его, вы должны быть в состоянии обнаружить это движение с помощью чувствительных кончиков пальцев и схватить его крепче, чтобы сохранить контроль. Таким образом, Дебреже считает, что возможно, наше тонкое чувство осязания и точная хватка фактически развились вместе и дополняют друг друга.
Эннос размышляет над еще одним возможным объяснением: отпечатки пальцев могут предотвратить появление волдырей, считает он. «Последняя идея, которую я поддерживаю, заключается в том, что гребни папиллярных линий укрепляют кожу в некоторых направлениях и помогают ей противостоять образованию пузырей, в то же время позволяя растягиваться под прямым углом к вектору приложения силы, поэтому кожа сохраняет хороший контакт с объектом», — сказал он.
В итоге, как видите, папиллярные линии, которыми мы пользуемся каждый день для разблокировки смартфона, оказались не такими уж и простыми. Какая из вышеуказанных теорий верна — сказать сложно, но скорее всего Дебреже прав: наши индивидуальные узоры на пальцах созданы природой сразу для нескольких целей.
11 фактов об отпечатках пальцев, которые могут заставить вас смотреть на свои руки с большим вниманием
Отпечатки пальцев — это так называемые «следы» на руках. Многие из нас считают, что они есть у всех и что они встречаются исключительно у людей. Но это не так. Дочитайте до конца, чтобы узнать больше об отпечатках пальцев.
Узнавай.Онлайн предлагает вам узнать 11 фактов о ваших отпечатках пальцев.
✔️Они формируются ещё в матке матери
Отпечатки пальцев развиваются в первые шесть месяцев беременности. Линии на пальцах образуются от давления, которое ребенок оказывает на то, что его окружает. Формы, которую они принимают, совершенно уникальны, и на конечный результат влияют многочисленные факторы. Например, стиль движения и конкретное место в матке, где развивается плод.
✔️Некоторые люди рождаются без отпечатков
Отсутствие отпечатков пальцев на руках и ногах называется адерматоглифией. Л юдей с адерматоглифией невозможно идентифицировать.
✔️Близнецы имеют уникальные отпечатки пальцев
Многие люди думают, что близнецы полностью идентичны. Это общее и ошибочное мышление, потому что различия все-таки есть. Формирование меток происходит не от ДНК человека, а от факторов, возникающих при развитии плода по мере его роста в утробе матери. Близнецы, находящиеся в одном и том же месте, могут достигать разного давления на пальцах, вызывая расхождения в узорах на пальцах.
✔️Самым распространенным паттерном является «локтевая петля»
⭕️Первый случай раскрытия преступления по идентификации отпечатка пальца
После убийства двух своих маленьких детей Франциска Рохас де Карабальо обвинила своего соседа Педро Рамона Веласкеса в том, что произошло. Однако полиция обнаружила запятнанный кровью отпечаток пальца в почтовом ящике двери дома, след, который мог принадлежать только убийце.
Под руководством Хуана Вучетича, аргентинца, пионера в дактилоскопии, полиция Буэнос-Айреса смогла сравнить отпечатки пальцев Франсиски и отпечаток в почтовом ящике, идентифицировав убийцу и немедленно захватив ее.
✅У обезьян и коал тоже есть отпечатки
Мало кто знает, что люди не единственные, у кого есть отпечатки пальцев. Да, есть несколько животных, которые имеют отпечатки, похожие на наши: коалы, шимпанзе и гориллы.
Университет Аделаиды в Австралии обнаружил, как эти животные развивают свои собственные отпечатки пальцев. Находясь в постоянном движении на деревьях и питаясь листьями, на их мягкую кожу оказывалось давление корой деревьев, и, таким образом, наконец, развивались свои собственные отпечатки пальцев.
⭕️Первый отпечаток был найден в Кувейте
В 2016 году группа археологов обнаружила самый старый в мире отпечаток человека, которому может быть до 1000 лет. Он был найден в северном Кувейте на обломке глиняной посуды, и, по оценкам, он относится к каменному веку (8700-2000 лет до нашей эры).
✅Марк Твен предвидел ценность отпечатков в качестве доказательства
Марк Твен был первым американским писателем, который задумался об использовании отпечатков пальцев для выявления и поимки преступников. Его интерес к созданию и использованию отпечатков пальцев был удивительным, учитывая то, что это был XIX век и даже упоминается в его книгах «Жизнь в Миссисипи» и «Трагедия в Пудднхеде Вильсоне», опубликованных соответственно в 1883 и 1894 годах, и в его театральных постановках. Тем не менее, полиция не практиковала данный способ вплоть до XX века.
✅Во время Второй мировой войны было собрано 70 миллионов отпечатков пальцев
Во время Второй мировой войны ФБР считало, что одним из способов поддержания порядка и бдительности является сбор и запись информации о людях. Чтобы осуществить этот план, они начали собирать отпечатки солдат, агентов и рабочих. К 1943 году их было собрано до 70 миллионов.
✔️Цифровой датчик Apple может определить, жив ли человек
Технологии развиваются все быстрее и быстрее, и Apple старается идти в ногу со временем. Датчики отпечатков пальцев Apple способны предупреждать, принадлежат ли отпечатки пальцев живому человеку или это отпечаток уже умершего человека. Устройство использует два механизма: один представляет собой емкостный датчик, который обнаруживает электрический ток в крови, а другой — радиочастоты, которые воспринимают волны, излучаемые живой тканью.
⭕️Отпечатки пальцев помогают не только идентифицировать злоумышленников, но и произведения искусства
Тери Хортон, 73-летний американский водитель грузовика, купил картину в подержанном магазине в Калифорнии за 5 долларов, чтобы подарить ее другу, который чувствовал себя подавленным. Когда они оба поняли, что картина слишком велика, чтобы украсить дом их друга, Хортон попытался продать ее на распродаже в гараже, разместив в своем саду. Учитель рисования, проходивший мимо этого места, сказал ему, что это может быть оригинал известного художника Джексона Поллока.
Отпечатки пальцев на картине стали доказательством, что это оригинальная работа, которая оценивается в 50 миллионов долларов.
Как вы думаете, для чего еще можно использовать отпечатки пальцев? Вы когда-нибудь замечали, какие линии образуются на ваших руках? Расскажите об этом в комментариях.
Почему рисунок на пальцах человека уникален?
Когда в 1910 году Томас Дженнингс попытался скрыться с места убийства, ему “посчастливилось” стать первым в истории человеком, который был пойман благодаря оставленным отпечаткам пальцев на высыхающих перилах рядом с домом. С тех пор дактилоскопия, которая представляет из себя способ идентификации человека благодаря неповторимому рисунку на коже, активно продолжает фигурировать в качестве важнейших доказательств в судебных расследованиях. Но, совершенно очевидно, что отпечатки пальцев существуют не ради занесения в общую базу данных полиции. Так почему же у человека существует папиллярные узоры на коже рук и какую биологическую роль они выполняют? Давайте попробуем разобраться в этом в данной статье.
Устройства считывания отпечатков пальцев стали часто использоваться в ноутбуках, смартфонах, терминалах и других внешних устройствах
Для чего у человека узоры на пальцах рук?
В ходе работы над изучением папиллярного узора на коже, специалисты придерживались двух теорий об их биологическом предназначении. Так, рисунок на пальцах рук человека может быть нужен для улучшения сцепления с какой-либо поверхностью, а также для усиления сенсорного восприятия. Долгое время главенствующей теорией являлось создание лучшего сцепления благодаря крохотным впадинам и возвышениям на пальцах, так как аналогичным образом устроены современные автомобильные шины. Для того, чтобы проверить подобную гипотезу, ученые провели лабораторный эксперимент для выявления функциональных сходств узоров пальцев рук с принципом работы автомобильных шин.
Согласно статье, опубликованной на портале Livescience.com, в ходе эксперимента специалисты перетягивали специальную пластину из органического стекла через подушечки пальцев, меняя при этом силу надавливания. Как выяснилось позднее, фактическая площадь контакта была уменьшена по сравнению с гладкими участками кожи, что может служить опровержением теории о создании дополнительного сцепления.
Кстати говоря, еще больше полезных статей вы можете найти на наших каналах в Яндекс.Дзен и Telegram.
Папиллярный узор может играть большую роль в чувстве осязания
Известно, что наши пальцы имеют четыре типа механорецепторов или клеток, реагирующих на механическую стимуляцию и прикосновения. Для того, чтобы подтвердить или опровергнуть теорию об увеличении сенсорных способностей, ученые детально изучили тельца Пачини, которые встречаются на расстоянии около 2 миллиметров на кончиках пальцев и отвечают за восприятие тонких текстур и легких вибраций.
Для проведения очередного эксперимента, ученые сконструировали биомиметрический тактильный датчик, который способен обнаружить вибрации, аналогично человеческим тельцам Пачини. Одна версия устройства была создана с гладкой структурой, а вторая имела рельефную поверхность, аналогичную человеческому пальцу. Кроме того, ребристая поверхность усиливала частоту колебаний, к которым очень чувствительны тельца Пачини. Ученые предполагают, что отпечатки пальцев усиливают точечные вибрации и направляют их на сенсоры под кожей, усиливая тонкую детальную сенсорную информацию о поверхности. Проведенный опыт послужил дополнительным фактором для подтверждения предположений об их биологической функции в природе.
Ученые предполагают, что процесс захвата какого-либо предмета также связан с нашими отпечатками. Именно благодаря своему специфическому узору на пальцах, мы способны не только удержать предмет в руке, но и почувствовать степень фиксации объекта для того, чтобы при необходимости усилить хватку в случае скольжения.
Кому и зачем нужны отпечатки наших пальцев
На кончиках пальцев каждого из нас расположен некий узор, уникальный и неповторимый. Его еще называют вторым «лицом» человека. В течение всей жизни отпечатки пальцев остаются неизменными, в то время как другие линии на ладонях постоянно меняются. Считается, что они нужны для, чтобы помогать удерживать предметы и для улучшения чувства осязания.
Отпечаток вместо подписи
Еще в XIV веке китайцы использовали отпечаток пальца вместо личной подписи на документах. В середине XIX века английский чиновник Уильям Гершель, работавший в Индии, обратил внимание на то, что китайские купцы, приезжавшие со своими товарами, при заключении сделок ставили на договоре оттиск зачерненного тушью или сажей большого пальца правой руки. И с 1858 года Гершель стал брать отпечатки пальцев у индийских солдат, которым он выплачивал жалование.
Способ опознания человека по отпечаткам пальцев называется дактилоскопией. Наиболее важной областью ее применения стала криминалистика. 18 апреля 1902 года в Дании была применена дактилоскопия для опознания преступника, а уже в сентябре этого же года в Великобритании отпечатки пальцев с места преступления впервые были использованы как доказательство вины по отношению к подозреваемому в преступлении.
Отпечаток пальца вместо кошелька и карты
Технология Paytouch, предложенная одноименным стартапом из Барселоны, позволяет делать покупки при помощи отпечатков пальцев. Первый биометрический платежный терминал заработал в 2012г. в Ushuaia Ibiza Beach Hotel (Ибица, Испания) — пользователи с аккаунтом в Paytouch просто связывают счет своей банковской карты с информацией о своих отпечатках пальцев. Для того чтобы произвести оплату, достаточно приложить к терминалу два пальца.
Вместо пароля
Рисунки на пальцах снискали большую популярность среди разработчиков систем безопасности. Так, например, сканирование пальца может быть использовано вместо пароля или PIN-кода в компьютерах и и гаджетах.
Новый смартфон Honor 5x содержит сканер отпечатка пальца 2.0. Сканер второго поколения имеет округлую форму для точного определения отпечатка пальца, под любым углом за 0,5 секунды. Самообучающийся датчик запоминает особенности отпечатка пальца каждый раз, когда вы используете сканер для разблокировки и управления смартфоном и увеличивает скорость разблокировки.
Сканер обладает такими возможностями как:
— Запуск приложений (работает при заблокированном экране)
— Фотосъёмка основной и фронтальной камерой
— Управление панелью уведомлений: проведя пальцем по сканеру сверху вниз вы откроете панель уведомлений, двойное прикосновение закроет все уведомления
— Ответ на входящий вызов или отключение будильника
— Прочное и устойчивое покрытие сканера защищает от повреждений и царапин






















